RETURN TO SUZUKI'S HOME PAGE
診療放射線技師国家試験のページに戻る。

平成9年3月6日(1997.03.06)

診療放射線技師国家試験問題

午前午後

午前:放射化学放射線機器工学放射線写真学放射性同位元素検査技術学放射線治療技術学基礎医学大要

午後:放射線生物学放射線物理学電気電子工学画像工学エックス線撮影技術学放射線計測学放射線管理学


Last modified 8-Jul.'98
 なお、これは、完全版ではありません。解答につきましても、どうしても必要な方のみ鈴木昇一まで所属等はっきり示されて連絡ください。ただし、解答は藤田保健衛生大学としてではなく、あくまでも鈴木の責任で行います。解答の責任は持ちかねます。ご了承願います。

第49回 放射線技師国家試験問題,午前



放射線技師国家試験問題,午前

放射化学,最初に戻る

問題 1. 原子番号が変化する壊変はどれか。
a. α壊変
b. β^-壊変
c. γ壊変
d. 核異性体転移
e. 電子捕獲
   1. a,b,c  2. a,b,e  3. a,d,e  4. b,c,d  5. c,d,e

問題 2. 正しい組合せはどれか。
a. 14C ----- 電子対生成
b. 60Co ---- 電子捕獲
c. 99mTc --- 核異性体転移
d. 125I ---- 電子捕獲
e. 131I ---- β^-壊変
   1. a,b,c  2. a,b,e  3. a,d,e  4. b,c,d  5. c,d,e

問題 3. 131Iの甲状腺における有効半減期が5日の場合、生物学的半減期はおおよそいくらか。
ただし、131Iの物理的半減期は8日とする。
1.   3日
2.   5日
3. 10日
4. 13日
5. 18日

問題 4. 131Iについて正しいのはどれか。
a. 低エネルギーコリメータを用いて撮像する。
b. 原子炉で生成される。
c. バセドウ病の内服治療に用いられる。
d. 気化するのでフード内で取り扱う。
e. 主にふん便中に排泄される。
   1. a,b,c  2. a,b,e  3. a,d,e  4. b,c,d  5. c,d,e

問題 5. 親核種と娘核種の組合せで誤っているのはどれか。
1. 81Rb ----- 81mKr
2. 90Sr ----- 90Y
3. 99Mo ----- 99mTc
4. 113Sn ---- 113mIn
5. 131Te ---- 131I

問題 6. 減衰時間が最も短いシンチレータはどれか。
1. ZnS(Ag)
2. BaO(Tl)
3. CsI(Tl)
4. アントラセン
5. 液体シンチレータ

問題 7. 放射性核種Aが壊変して新しい核種Bとなり、永続平衡が成立するための条件として正しいのはどれか。
ただし、壊変定数はそれぞれλ_a、λ_bとする。
1. λ_b ≪ λ_a
2. λ_b < λ_a
3. λ_b = λ_a
4. λ_b > λ_a
5. λ_b ≫ λ_a

問題 8. 図に示す放射平衡について正しいのはどれか。

a. 過渡平衡の図である。 b. 親核種の半減期は15時間である。 c. 娘核種の半減期は0.8時間である。 d. 曲線Aは全体の放射能を表す。 e. 曲線Cは新たに分離した娘核種の放射能を表す。 1. a,b,c 2. a,b,e 3. a,d,e 4. b,c,d 5. c,d,e

問題 9. 比放射能について正しいのはどれか。 a. 単位重量当たりの放射能で表す。 b. 時間の経過に伴って減少する。 c. 同一の安定同位元素を添加すると減少する。 d. 同一の放射性同位元素を添加すると減少する。 e. 整理食塩液を添加すると減少する。 1. a,b,c 2. a,b,e 3. a,d,e 4. b,c,d 5. c,d,e 問題 10. 標識率を測る薄層クロマトグラフィで正しいのはどれか。 a. 支持体は乾燥した状態で使用する。 b. 試料を滴下した後、素早く展開槽に移す。 c. 試料は支持体の最下部に滴下する。 d. 展開を終えた後、素早く支持体を測定する。 e. 展開溶媒は使用直前に調整する。 1. a,b 2. a,e 3. b,c 4. c,d 5. d,e 放射線機器工学,最初に戻る 問題 11. コンデンサ式エックス線装置で、80kV、10mAsの撮影を行った。 撮影終了時に管電圧計が70kVを示していた。 この装置に用いられている高圧コンデンサの容量はどれか。 1. 0.5μF 2. 1.0μF 3. 1.5μF 4. 2.0μF 5. 2.5μF 問題 12. 診断用エックス線装置の制御について誤っているのはどれか。 1. 変圧器形の管電圧制御は高電圧変圧器の2次電圧を変化させる。2. 共振形インバータ方式の管電圧制御はインバータ周波数を変化させ出力電圧を制御する。 3. 方形波形インバータ方式の管電圧制御は直流電圧可変回路を用いる。 4. 変圧器形の管電流制御はエックス線管フィラメント加熱変圧器を用いる。 5. インバータ方式の管電流制御はインバータ制御を用いた高周波加熱方式が用いられる。 問題 13. 診断用エックス線管について誤っているのはどれか。 1. 空間強度分布はターゲット角度で異なる。 2. ターゲット角度が大きいほど実焦点面積を大きくできる。 3. 発生する熱量は管電圧、管電流および負荷時間の積に比例する。 4. 管電流は電極間距離の2乗に反比例する。 5. エックス線強度は管電圧の2乗に比例する。 問題 14. インバータ方式エックス線装置について誤っているのはどれか。 1. フィードバック制御により管電圧の精度が向上している。 2. 単相2ピーク装置と同程度のエックス線出力が得られる。 3. 動作周波数が高く管電圧のリプル百分率が小さい。 4. 周波数を高くすることで高電圧変圧器を小型化できる。 5. 電源位相に関係なくエックス線を遮断できる。 問題 15. 管電圧150kV、管電流300mA、撮影時間1s通電したとき、単相全波整流装置の高電圧変圧器の最大出力は何kVAか。 1. 35 2. 40 3. 45 4. 50 5. 62 問題 16. 診断用エックス線管について誤っているのはどれか。 1. 最大許容入力は実焦点面積に反比例する。 2. 短時間許容負荷は焦点面の温度により制限される。 3. 長時間許容負荷は陽極全体の温度により制限される。 4. スポット撮影は短時間と長時間との混合負荷である。 5. 負荷曲線は連続負荷時の陽極の熱容量蓄積を示す。 問題 17. イメージングプレートを用いるCR装置について誤っているのはどれか。 1. イメージングプレートに記録された画像情報をレーザービームで読み取る。 2. イメージングプレートは蛍光増感紙付カセットに入れて使用する。 3. 画像処理によりコントラストの調整ができる。 4. エックス線露出線量の多少の過不足は濃度補正できる。 5. 撮影後のイメージングプレートは光を当て画像を消去できる。 問題 18. エックス線装置に用いるCCDカメラについて誤っているのはどれか。 1. 強い光に対する焼き付きが少ない。 2. 振動や衝撃に強い。 3. 残像が少ない。 4. 地磁気の影響を受ける。 5. 図形ひずみが少ない。 問題 19. デジタルエックス線画像のボケに関係ないのはどれか。 1. エックス線管焦点 2. エックス線検出器 3. A/D変換器 4. 散乱線 5. 患者-検出器間距離 問題 20. MRIの性能評価試験に関係ないのはどれか。 1. 磁場均一性測定 2. スライス厚測定 3. 信号雑音比(SNR)測定 4. T1、T2緩和時間測定 5. 漏えい磁界測定 問題 21. 超電導MRI装置で液体ヘリウムに浸されているのはどれか。 1. RFコイル 2. 静磁場用コイル 3. 傾斜磁場用コイル 4. 磁場補正用コイル 5. 表面コイル 問題 22. ディジタルフルオログロフィ装置の構成でないのはどれか。 1. イメージインテンシファイア 2. イメージングプレート 3. 光学系 4. エックス線TVカメラ 5. A/D変換器 問題 23. エックス線CT装置の保守管理のチェック項目で誤っているのはどれか。 1. コントラスト分解能 2. スライス厚 3. 空間分解能 4. アーチファクト 5. エックス線検出効率 問題 24. ポジトロンCTについて誤っているのはどれか。 1. 陽電子の消滅放射線を同時計測する。 2. 解像力は検出素子の大きさ(幅)で制限される。 3. SPECTより正確に定量できる。 4. SPECTより解像力が劣る。 5. 検出器にはBGOが使用される。 問題 25. カメラ回転型SPECT装置の画質に影響をあたえる因子でないのはどれか。 1. 画像再構成フィルタ 2. 重積効果 3. 散乱線の補正 4. 回転角度 5. サンプリング数 問題 26. リモートアフターローディング装置について誤っているのはどれか。 1. 線源は遠隔操作でアプリケータに送られる。 2. 線源位置の確認は模擬線源で行う。 3. タンデムアプリケータは1本使用する。 4. 線源格納容器は操作室に設置する。 5. 線源の送り出しはエリアモニタで確認する。 問題 27. 放射線治療装置の点検で誤っている組合せはどれか。 1. 照射野の平坦度の測定 --- XYレコーダ 2. 放射線照射野と光学的照射野の一致 --- 等濃度記録装置 3. モニタ線量計の精度 --- 校正用ファントム 4. アイソセンタ(回転中心)の一致 --- マイクロデンシトメータ 5. エックス線エネルギーの測定 --- 電離箱線量計 問題 28. 超音波診断装置について正しいのはどれか。 1. 超音波の位相は測定できない。 2. 生体中の超音波の減衰は臓器の違いに影響されない。 3. 周波数が高いほど距離分解能が向上する。 4. 周波数が高いほど透過性が増す。 5. 周波数が高いほど方位分解能は低下する。 問題 29. 超音波診断装置について正しいのはどれか。 a. 分解能を上げるためビームの焦点化が行われる。 b. ドプラ法により反射体の速度が計測できる。 c. パルスエコー法では反射体の動きは分からない。 d. 屈折による像のひずみは無視できる。 e. 画像の記録には感熱紙は用いない。 1. a,b 2. a,e 3. b,c 4. c,d 5. d,e 問題 30. 眼底カメラについて誤っているのはどれか。 1. 瞳孔を通して網膜を照明し撮影する。 2. 照明系と観察撮影系がある。 3. 対物レンズは別々に2軸の光学系で使用する。 4. ひたい受けとあご受けとで被写体を固定し撮影する。 5. 光束分離にはリスニングスリット法が用いられる。 放射線写真学,最初に戻る 問題 31. 現像液の疲労に伴う変化で誤っているのはどれか。 1. 現像主薬が消耗する。 2. 亜硫酸塩が消耗する。 3. pHが上がる。 4. ハロゲンイオンが蓄積する。 5. 茶褐色に変色する。 問題 32. 写真乳剤のハロゲン化銀組成がAgBrとAgIからなるのはどれか。 a. エックス線フイルム(直接撮影用) b. 高感度フイルム c. クロロブロマイド印画紙 d. 製版用フイルム e. ブロマイド印画紙 1. a,b 2. a,e 3. b,c 4. c,d 5. d,e 問題 33. フイルムの分光感度が不連続スペクトルになるのはどれか。 1. レギュラー 2. オルソクロマチック 3. オルソパンクロマチック 4. スーパーパンクロマチック 5. インフラレッド 問題 34. 定着液を構成しないのはどれか。 1. 保恒剤 2. 硬膜剤 3. 緩衝剤 4. 酸性剤 5. 抑制剤 問題 35. 露光に関する現象でないのはどれか。 1. サバチエ(Sabatier)効果 2. クライデン(Clayden)効果 3. ラッセル(Russel)効果 4. ソラリゼーション 5. 間欠効果 放射性同位元素検査技術学,最初に戻る 問題 36. 125Iについて正しいのはどれか。 a. 半減期が60日である。 b. β線を放出する。 c. SPECTに用いられる。 d. ラジオイムノアッセイに用いられる。 e. 蛋白質の標識に用いられる。 1. a,b,c 2. a,b,e 3. a,d,e 4. b,c,d 5. c,d,e 問題 37. 総合分解能試験で半値幅4mmのとき、正しい収集マトリックスサイズはどれか。 1. 1mm × 1mm 2. 2mm × 2mm 3. 3mm × 3mm 4. 4mm × 4mm 5. 5mm × 5mm 問題 38. 誤っているの組合せはどれか。 1. 散乱線除去 ----------- コリメータ 2. 核種のエネルギー ----- 減弱係数 3. 画像のスムージング --- 波高分析器 4. 拡大画像 ------------- ピンホールコリメータ 5. 統計誤差 ------------- 収集カウント 問題 39. 放射性医薬品の核種のエネルギーについて誤っているのはどれか。 1. 検出感度に影響する。 2. コリメータの遮へい効率に影響する。 3. 100〜200keVが適している。 4. 有効半減期に影響する。 5. 画像の分解能に影響する。 問題 40. 正しい組合せはどれか。 a. 201Tl --- 低エネルギーコリメータ b. 111In --- 中エネルギーコリメータ c. 67Ga ---- 低エネルギーコリメータ d. 99mTc --- 高エネルギーコリメータ e. 131I ---- 高エネルギーコリメータ 1. a,b,c 2. a,b,e 3. a,d,e 4. b,c,d 5. c,d,e 問題 41. ガスとして使用する核種はどれか。 a. 15O b. 131I c. 201Tl d. 133Xe e. 81mKr 1. a,b,c 2. a,b,e 3. a,d,e 4. b,c,d 5. c,d,e 問題 42. 前処理としてヨード制限が必要な放射性医薬品はどれか。 1. Na123I 2. 123I-IMP 3. 123I-MIBG 4. 99mTcO_4^- 5. 99mTc-MDP 問題 43. 適切な検査の順序はどれか。 ただし、131Iは74MBq、67Gaは74MBq、99mTcは740MBqを使用する。 1. 67Ga → 99mTc → 131I 2. 67Ga → 131I → 99mTc 3. 99mTc → 67Ga → 131I 4. 99mTc → 131I → 67Ga 5. 131I → 99mTc → 67Ga 問題 44. ポジトロン放出核種はどれか。 a. 3H b. 11C c. 18F d. 51Cr e. 59Fe 1. a,b 2. a,e 3. b,c 4. c,d 5. d,e 問題 45. 67Ga-クエン酸シンチグラフィにおける正常集積部位はどれか。 a. 肝臓 b. 骨 c. 脳 d. 心臓 e. 甲状腺 1. a,b 2. a,e 3. b,c 4. c,d 5. d,e 問題 46. 骨シンチグラフィ検査で誤っているのはどれか。 1. 高分解能型コリメータを使用する。 2. 収集エネルギーウィンドウ幅を20%にする。 3. SPECTを併用すると解剖学的情報が増える。 4. プラナ像では収集マトリックスを64×64に設定する。 5. 収集カウントを2,000/cm^2程度に設定する。 問題 47. 全身シンチグラフィ検査で誤っているのはどれか。 1. 検出器を患者に近づける。 2. 検査直前に排尿させる。 3. 金属を取り外す。 4. 体動を少なくするよう指示する。 5. 両手を腹部で組むよう指示する。 問題 48. 誤っている組合せはどれか。 1. 脳梗塞 --- 99mTc-HMPAO 2. 狭心症 --- 99mTc-MIBI 3. 肺梗塞 --- 99mTc-DMSA 4. 胆嚢炎 --- 99mTc-PMT 5. 肝硬変 --- 99mTc-コロイド 問題 49. 病変部が陰性像となることが多い組合せはどれか。 1. 肺癌 ------------- 201TlCl 2. 心筋梗塞 --------- 201TlCl 3. 骨転移 ----------- 99mTc-MDP 4. メッケル憩室 ----- 99mTcO_4^- 5. 悪性リンパ腫 ----- 67Ga-クエンサン 問題 50. 心電図同期心プールシンチグラフィから求められるのはどれか。 a. 心駆出分画 b. 心室容積曲線 c. 肺循環時間 d. 冠血流量 e. 位相解析 1. a,b,c 2. a,b,e 3. a,d,e 4. b,c,d 5. c,d,e 問題 51. 99mTc-フチン酸が肝臓に集積する機序はどれか。 1. 能動輸送 2. 貧食能 3. 単純拡散 4. 生合成 5. 毛細管塞栓 問題 52. 放射性医薬品を投与後24時間以内に終了する検査はどれか。 1. 赤血球寿命 2. 赤血球鉄利用率 3. 循環血漿量 4. 血小板寿命 5. 骨髄シンチグラフィ 問題 53. 15Oについて誤っているのはどれか。 1. 物理的半減期が21分である。 2. 核反応は14N(d,n)15Oである 3. 放出線のエネルギーは511keVである。 4. 脳酸素代謝の測定に用いる。 5. サイクロトロンで製造する。 問題 54. 正しい組合せはどれか。 a. 99mTc-DTPA --- 膵シンチグラフィ b. 99mTc-標識エアゾル --- 肺吸入シンチグラフィ c. 99mTcO_4^- --- 唾液腺シンチグラフィ d. 99mTc-赤血球 --- 消化管出血シンチグラフィ e. 99mTc-HSA --- 肺シンチグラフィ 1. a,b,c 2. a,b,e 3. a,d,e 4. b,c,d 5. c,d,e 問題 55. 同じ量の放射能を投与した際、正常甲状腺に対する被爆線量が最も多いのはどれか。 1. 99mTcO_4^- 2. 201TlCl 3. Na131I 4. Na123I 5. 67Ga-クエン酸 放射線治療技術学,最初に戻る 問題 56. ベータ線を治療に用いる核種はどれか。 a. 192Ir b. 137Cs c. 131I d. 90Sr e. 60Co 1. a,b 2. a,e 3. b,c 4. c,d 5. d,e 問題 57. 原体照射法が適応されるのはどれか。 a. 食道癌 b. 乳癌 c. 咽頭癌 d. 甲状腺癌 e. 前立腺癌 1. a,b 2. a,e 3. b,c 4. c,d 5. d,e 問題 58. 放射線治療におけるエックス線CTの役割について関係ないのはどれか。 1. 生物学的効果比の把握 2. 治療後の再発の診断 3. 電子密度分布の取得 4. 体表面の輪郭の描出 5. 計画標的体積の決定 問題 59. コンピュータ利用治療計画システムでできないのはどれか。 a. MRIからの不均質補正データの採取 b. 任意方向からのビームの選択 c. 線量・体積ヒストグラム(DVH)の作成 d. エックス線CT像と線量分布図との重ね合わせ。 e. 画像診断所見からの癌再発頻度の予測。 1. a,b 2. a,e 3. b,c 4. c,d 5. d,e 問題 60. リモートアフターローディングによる治療で誤っているのはどれか。 1. 高線量率照射法である。 2. 術者の被爆を避けることができる。 3. 通院での治療が可能である。 4. 1回照射が適当である。 5. 舌癌の根治治療に利用できる。 問題 61. NSDを計算するとき用いるのはどれか。 a. 線質 b. 線量率 c. 照射体積 d. 分割回数 e. 全照射期間 1. a,b 2. a,e 3. b,c 4. c,d 5. d,e 問題 62. TDFに関係あるのはどれか。 a. 照射日数 b. 1回線量 c. 照射回数 d. 積分線量 e. 急性障害 1. a,b,c 2. a,b,e 3. a,d,e 4. b,c,d 5. c,d,e 問題 63. 放射線治療で大きい照射野が用いられるのはどれか。 a. ホジキン病 b. 咽頭癌 c. ケロイド d. 前立腺癌 e. 精上皮腫 1. a,b 2. a,e 3. b,c 4. c,d 5. d,e 問題 64. 正しい組合せはどれか。 1. 膵癌 ----- 術中(開創)照射 2. 食道癌 --- 組織内照射 3. 胃癌 ----- 腔内照射 4. 上顎癌 --- 前後対向2門照射 5. 乳癌 ----- 直交2門照射 問題 65. 腺癌はどれか。 a. 舌癌 b. 咽頭癌 c. 乳癌 d. 前立腺癌 e. 食道癌 1. a,b 2. a,e 3. b,c 4. c,d 5. d,e 問題 66. 咽頭癌について誤っているのはどれか。 1. 男性が90%を占める。 2. 喫煙と関係がある。 3. 発声機能温存のため第一選択として放射線治療を行う。 4. 2週間で60Gyを外照射する。 5. I期の咽頭癌は外照射で90%治癒する。 問題 67. 乳癌について正しいのはどれか。 a. 我が国では患者数が減少傾向にある。 b. 乳房温存療法では放射線治療が併用される。 c. 疼痛のある骨転移は放射線治療の適応である。 d. 腋窩リンパ節への転移は少ない。 e. 5年以降の再発頻度は咽頭癌に比べ少ない。 1. a,b 2. a,e 3. b,c 4. c,d 5. d,e 問題 68. 前立腺癌の原発巣治療に用いない照射法はどれか。 1. 術中(開創)照射 2. 振子照射 3. 3門照射 4. 4門照射 5. 接線照射 問題 69. TPRについて正しいのはどれか。 1. 線源 - 表面間距離に依存する。 2. 深さの線量を基準点線量で除したものである。 3. 水中における減弱率である。 4. STD 40cm以上で大きく変化する。 5. 照射野の大きさに依存しない。 問題 70. 吸収線量の測定・計算に関係ないのはどれか。 1. 電子平衡の成立に関する理論 2. 分割照射の効果を反映させる理論 3. ブラッグ・グレイの空洞理論 4. 照射線量から吸収線量に変換するための理論 5. 電子線の軌道を確率論的に求める理論 問題 71. エックス線シミュレータについて誤っているのはどれか。 1. 治療装置と同じ幾何学的条件を有する。 2. 任意の架台角度を設定できる。 3. 任意の照射野を設定できる。 4. 任意のヘッド回転角度を設定できる。 5. 縦断面の臓器の位置関係が分かる。 問題 72. 円軌道加速に関係ないのはどれか。 1. ベータトロン 2. マイクロトロン 3. サイクロトロン 4. マグネトロン 5. シンクロトロン 問題 73. テレコバルト治療装置で誤っているのはどれか。 1. 基準深は0.5cmである。 2. 半減期が約5.3年である。 3. 線源直径は1〜2cmである。 4. 照射時には銅フィルタを装着する。 5. β線とγ線とが混在する照射である。 問題 74. 放射線治療装置の保守管理項目でないのはどれか。 1. モニタ線量計の精度 2. エックス線照射野と光照射野との一致性 3. サイドポインタのずれ 4. 線量分布平坦度 5. 冷却水の水質 問題 75. 直交2門照射で一つの線巣に1回2Gyの照射をするときのモニタユニットはどれか。 ただし、深さは5cm、TPRは0.95、ウェッジファクタは0.5、フィールドファクタは0.96、モニタ較正値は1とする。 1. 55 2. 105 3. 202 4. 211 5. 219 要基礎医学大要,最初に戻る 問題 76. 職業病について関係ない組合せはどれか。 1. 放射線業務 --- 白内障 2. 石綿業務 --- 髄膜腫 3. 炭坑業務 --- 硅肺 4. 精錬業務 --- 青酸中毒 5. タール業務 --- 膀胱癌 問題 77. 細菌感染でないのはどれか。 a. 猩紅熱 b. 結核 c. 破傷風 d. AIDS e. 麻疹 1. a,b 2. a,e 3. b,c 4. c,d 5. d,e 問題 78. 誤っているのはどれか。 1. TNM分類は悪性腫瘍の病期分類である。 2. 胃は幽門部で十二指腸に移行する。 3. 腎尿細管で水分の再吸収が行われる。 4. MRIで骨皮質は低信号である。 5. 副腎皮質はアドレナリンを分泌する。 問題 79. 大量飲酒と関係があるのはどれか。 a. 急性膵炎 b. 食道癌 c. 出血性胃炎 d. 大動脈炎症候群 e. 肺嚢胞 1. a,b,c 2. a,b,e 3. a,d,e 4. b,c,d 5. c,d,e 問題 80. 頻度が最も高い脳腫瘍はどれか。 1. 下垂体腺腫 2. 悪性リンパ腫 3. 松果体腫瘍 4. 転移性脳腫瘍 5. 聴神経腫瘍 問題 81. 誤っている組合せはどれか。 1. 下垂体腫瘍 --- 巨人症 2. 脊髄腫瘍 ----- 下肢麻痺 3. 糖尿病 ------- 視覚障害 4. 肝硬変 ------- 食道静脈瘤 5. 肥満症 ------- 悪液質 問題 82. 腎臓疾患に関係ないのはどれか。 1. 血尿 2. 浮腫 3. 低体温 4. 高血圧 5. 蛋白尿 問題 83. 関係のある組合せはどれか。 1. 副甲状腺 --- バセドウ病 2. 胸腺 --- 万世関節リウマチ 3. 動脈管 --- 心室中隔欠損症 4. 冠動脈 --- 川崎病 5. 肺静脈 --- 肺梗塞 問題 84. 正しい組合せはどれか。 1. 大転子 --- 上腕骨 2. 烏口突起 --- 肩甲骨 3. 剣状突起 --- 頬骨 4. 乳様突起 --- 大腿骨 5. 棘突起 --- 胸骨 問題 85. 手根骨でないのはどれか。 1. 月状骨 2. 三角骨 3. 豆状骨 4. 有頭骨 5. 立方骨 問題 86. 下肢の筋に属さないのはどれか。 1. 僧帽筋 2. 大腿直筋 3. 大殿筋 4. 腓腹筋 5. 外側広筋 問題 87. 胸部エックス線写真上で肺門陰影を構成するのはどれか。 a. 気管支動脈 b. 上大静脈 c. 肺動脈 d. 肺静脈 e. 奇静脈 1. a,b 2. a,e 3. b,c 4. c,d 5. d,e 問題 88. 上大静脈に直接流入するのはどれか。 a. 左腕頭静脈 b. 奇静脈 c. 総頭静脈 d. 肋間静脈 e. 肺静脈 1. a,b 2. a,e 3. b,c 4. c,d 5. d,e 問題 89. 後腹膜腔にあるのはどれか。 a. 胃 b. 腎臓 c. 下大静脈 d. S状結腸 e. 肝臓 1. a,b 2. a,e 3. b,c 4. c,d 5. d,e 問題 90. 内分泌腺はどれか。 1. 乳腺 2. 舌下腺 3. 皮脂腺 4. 甲状腺 5. 耳下腺 問題 91. 原発性肺癌の診断に有用なのはどれか。 a. 気管支鏡検査 b. 血清α-フェトプロテイン値測定 c. 超音波検査 d. エックス線CT検査 e. 喀痰細胞診検査 1. a,b,c 2. a,b,e 3. a,d,e 4. b,c,d 5. c,d,e 問題 92. インターベンショナル・ラジオロジー(IVR)に含まれないのはどれか。 1. 金属ステントによる胆管拡張術 2. 経皮経肝胆管ドレナージ 3. 冠動脈バイパス術 4. 肝動脈塞栓術 5. 下大静脈フィルタ留置 問題 93. 頭部単純エックス線CTで高吸収域を示すのはどれか。 1. 水頭症 2. 脳浮腫 3. 脳膿瘍 4. 脳出血 5. 脳梗塞 問題 94. MRIのT2強調画像で高信号を示すのはどれか。 a. 側脳室 b. 頭蓋骨 c. 小脳テント d. 内頸動脈 e. 脳梗塞 1. a,b 2. a,e 3. b,c 4. c,d 5. d,e 問題 95. MRIがエックス線CTより診断に適しているのはどれか。 a. クモ膜下出血 b. 気管支拡張症 c. 骨盤骨折 d. 椎間板ヘルニア e. 膝十字靱帯断裂 1. a,b 2. a,e 3. b,c 4. c,d 5. d,e


第49回 放射線技師国家試験,午後


午前に戻る。
放射線生物学、最初に戻る
問題 1. エックス線による細胞死について正しいのはどれか。
a. アポトーシスがある。
b. PLDR(潜在的致死傷害の回復)がある。
c. 亜致死障害からの回復がある。
d. S期の感受性が高い。
e. OER(酸素効果比)は1に近い。
   1. a,b,c  2. a,b,e  3. a,d,e  4. b,c,d  5. c,d,e

問題 2. 放射線感受性について正しいのはどれか。
a. 低酸素細胞は感受性が低い。
b. 感受性は細胞周期によって変化する。
c. 高分化細胞は感受性が高い。
d. 増殖の盛んな細胞は感受性が低い。
e. 感受性は温度によって影響されない。
   1. a,b  2. a,e  3. b,c  4. c,d  5. d,e

問題 3. 放射線感受性が高いのはどれか。
a. 腸上皮細胞
b. 神経細胞
c. 骨細胞
d. 皮膚基底細胞
e. リンパ球
   1. a,b  2. a,e  3. b,c  4. c,d  5. d,e

問題 4. OER(酸素効果比)が最も低いのはどれか。
1. エックス線
2. 陽子線
3. γ線
4. 電子線
5. 速中性子線

問題 5. 陽子線について正しいのはどれか。
a. ブラッグピークがある。
b. RBEが1に近い。
c. 亜致死傷害からの回復がエックス線より大きい。
d. Dq(準しきい値線量)が小さい。
e. OER(酸素効果比)がエックス線より小さい。
   1. a,b  2. a,e  3. b,c  4. c,d  5. d,e

問題 6. 高LET放射線について正しいのはどれか。
a. RBEが大きい。
b. DNA損傷の修復が少ない。
c. OER(酸素効果比)が大きい。
d. 正常組織の障害が少ない。
e. 細胞周期依存性が少ない。
   1. a,b,c  2. a,b,e  3. a,d,e  4. b,c,d  5. c,d,e

問題 7. 放射線障害を受けやすいのはどれか。
1. 皮膚
2. 水晶体
3. 腎臓
4. 尿管
5. 肝臓

問題 8. 放射線発癌を発症しやすいのはどれか。
1. 舌
2. 肺
3. 増血器
4. 胃
5. 骨

問題 9. 放射線障害について誤っている組合せはどれか。
1. 皮膚萎縮 --- 晩発効果
2. 骨髄死 --- 早期効果
3. 口内炎 --- しきい値
4. 発癌 --- 確定的障害
5. 線量効果関係 --- シグモイド曲線

問題 10. 放射線障害のしきい値が最も低いのはどれか。
1. 胃潰瘍
2. 不妊
3. 心嚢炎
4. 肺線維症
5. 腎硬化症

放射線物理学、最初に戻る

問題 11. 物理定数の単位で誤っているのはどれか。
1. 電気素量 : C
2. アボガドロ数 : mol^{-1}
3. ファラデー定数 : C・mol^{-1}
4. 断面積(バーン) : m^2
5. プランク定数 : J・s^{-1}

問題 12. 誤っているのはどれか。
1. 原子質量単位uは12C原子の質量を12uとして定義している。
2. u単位で表された陽子の質量は中性子の質量に等しい。
3. 1グラム分子の物質中に含まれる分子の数は物質によらず一定である。
4. u単位で表された1原子の質量の数値を原子量という。
5. 原子量Aの元素物質のAグラムをその物質の1グラム原子という。

問題 13. 単位で正しいのはどれか。
a. 線減弱係数 : m^{-1}
b. カーマ : J・m^{-3}
c. 照射線量 : J・kg^{-1}
d. 吸収線量 : C・kg^{-1}
e. 粒子フルエンス : m^{-2}
   1. a,b  2. a,e  3. b,c  4. c,d  5. d,e

問題 14. 連続エネルギースペクトルを示すのはどれか。
1. β^+壊変の陽電子
2. 内部転換電子
3. オージェ電子
4. γ線
5. α線

問題 15. 半減期2分で質量数15の放射性核種が1.8×10^{-12}gある。このときの放射能は何Bqか。
ただし、log_{10}2は0.693、アボガドロ数は6×10^{23}とする。
1. 2.7×10^{34}
2. 2.5×10^{10}
3. 8.7×10^8
4. 4.2×10^8
5. 1.2×10^{-39}

問題 16. 核反応について誤っているのはどれか。
1. (n,p)反応にしきい値がある。
2. 反応の前後で質量数、電荷および運動量が保存される。
3. (p,p')反応は陽子の非弾性散乱を表す。
4. 原子の軌道電子は無視できる。
5. 反応の起こる確率は入射粒子のエネルギーによらず一定である。

問題 17. 核融合反応 D+T→He+n によって放出されるエネルギーは何MeVか。
ただし、各粒子の質量は原子質量単位でDは2.014、Tは3.016、Heは4.002、nは1.009、1原子質量に相当するエネルギーは930MeVとする。
1. 0
2. 0.02
3. 18
4. 930
5. 9,338

問題 18. 正しいのはどれか。
1. 素粒子とは陽子、中性子、電子および光子である。
2. クォークは電荷を持たない。
3. π中間子はπ^+とπ^-の2種類である。
4. 中性子には反中性子が存在する。
5. クォークと電子の質量は等しい。

問題 19. 電子について正しいのはどれか。
1. 磁場では直進する。
2. 回折する。
3. 質量衝突阻止能は物質の種類によらない。
4. 磁気モーメントを持たない。
5. 放射損失は物質の原子番号が大きいほど少ない。

問題 20. エネルギーが23MeVの電子の質量は静止質量の約何倍か。
1. 46
2. 45
3. 23.5
4. 22.5
5. 46×10^{-3}

問題 21. 誤っているのはどれか。
1. 水素の原子核は磁気モーメントを持つ。
2. 磁気モーメントの歳差運動の周波数は外部磁場の大きさに反比例する。
3. 原子番号と質量数とが偶数の元素の核スピンはゼロである。
4. 磁気モーメントは歳差運動の周波数の電磁波を発生する。
5. 磁気モーメントの運動は外部のコイルに誘起される信号で観察できる。

問題 22. 超音波とエックス線とに共通するのはどれか。
1. 真空中を伝播する。
2. 波動方程式で表現できる。
3. 気体を電離する。
4. 反射波により像を得る。
5. 発生源は検出器を兼ねている。

問題 23. 最短波長が2.48×10^{-4}(nm)のエックス線の管電圧は何MVか。
1. 5,000
2. 500
3. 50
4. 5
5. 0.5

問題 24. エックス線と関係ないのはどれか。
1. 質量減弱係数
2. 質量エネルギー吸収係数
3. 質量阻止能
4. 照射線量
5. 線エネルギー付与

問題 25. 10MeVの光子と水との相互作用の主なものはどれか。
1. 光電効果
2. コンプトン効果
3. 電子対生成
4. 光核反応
5. 干渉性散乱

電気電子工学、最初に戻る

問題 26. 図の回路のAB間に90Vの直流電圧を加えたとき、C_1の両端の電圧が30Vであった。
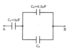
C_3の静電容量は何μFか。

1. 0.5 2. 1.0 3. 2.0 4. 3.5 5. 5.5

問題 27. 静電気について誤っているのはどれか。 1. 2個の点電荷の間にクーロン力が働く。 2. 導体内部の電界はゼロである。 3. 電気量と電位差との積はエネルギーを表す。 4. 電気力線は等電位面と平行である。 5. コンデンサは静電誘導を利用したものである。 問題 28. 同じ金属で図のような円柱の導線を作ったとき、その両端の抵抗値の比較で正しいのはどれか。

1. ハ>ロ>ニ>イ 2. ハ>イ>ニ>ロ 3. ロ>ニ>イ>ハ 4. ニ>ロ>ハ>イ 5. ロ>イ>ニ>ハ

問題 29. 単位で誤っているのはどれか。 1. 抵抗率 : Ω・m 2. 電界の強さ : V・m^{-1} 3. 磁界の強さ : A・m^{-1} 4. 磁気モーメント : C・V 5. 電力 : J・s^{-1} 問題 30. 起電力E、内部抵抗rの電池を2個並列につないで外部抵抗Rにつなぐとき、抵抗Rを流れる電流を表すのはどれか。 1. \frac{2E}{2R+r} 2. \frac{2E}{R+2r} 3. \frac{E}{2R+r} 4. \frac{E}{R+2r} 5. \frac{E}{R+r} 問題 31. 図の回路のAB間に直流電圧6Vを加えたとき、CD間の電圧は何Vか。

1. 0.5 2. 1.0 3. 1.5 4. 2.0 5. 2.5

問題 32. 図のRLC回路が共振状態にあるとき、Lの両端の電圧は何Vか。

1. 0 2. 100 3. 200 4. 400 5. 1,000

問題 33. 図の三相負荷に線間電圧100Vの対称三相電圧を加えた。 この負荷で消費される電力は何Wか。

1. 400 2. 600 3. 900 4. 1,000 5. 1,200

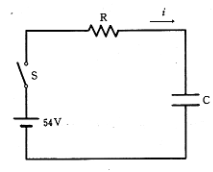
問題 34. 誤っているのはどれか。 1. 電力は電圧と電流との積で表される。 2. 電力量は電圧と電気量との積で表される。 3. 波高率は最大値と実行値との比で表される。 4. 効率は出力と入力の積で表される。 5. 波形率は実行値と平均値との比で表される。 問題 35. 複素数表示で誤っているのはどれか。 1. RL直列回路のインピーダンス : R+jωL 2. RLC直列回路のインピーダンス : R+j(ωL−1/ωC) 3. RL並列回路のアドミタンス : 1/R−j・1/ωL 4. RC並列回路のアドミタンス : 1/R+jωC 5. RLC並列回路のアドミタンス : 1/R+j(ωL−1/ωC) 問題 36. 図の回路のスイッチSを閉じてからCR秒後の電流iは0.1Aであった。抵抗Rは何Ωか。 ただし、自然対数の底eは2.7とする。

1. 100 2. 200 3. 300 4. 700 5. 1,000

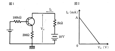
問題 37. 家庭用商用電源の電圧をテスターで測定するとき、正しいレンジはどれか。 1. DC-V : 250 2. Ω : R×100 3. AC-A : 250 4. AC-V : 250 5. DC-V : 100 問題 38. 半導体について誤っているのはどれか。 1. 真性半導体の不純物濃度はゼロである。 2. 不純物がヒ素ならばN形半導体になる。 3. 空乏層には自由なキャリアが存在する。 4. 抵抗率は不純物の量によって変化する。 5. 温度が上昇すると抵抗が小さくなる。 問題 39. 図1の回路の負荷抵抗線を図2に示す。Aの値は何mAか。

1. 0.1 2. 3.6 3. 4.5 4. 5.0 5. 50

問題 40. 図の回路で出力V_0を表すのはどれか。

1. −(V_1+V_2) 2. 2(V_1+V_2) 3. \frac{1}{2}(V_1+V_2) 4. V_1−V_2 5. 2(V_1−V_2)

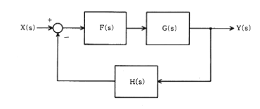
問題 41. パルス回路について誤っているのはどれか。 1. フリップフロップ回路は計数回路に用いられる。 2. トランジスタをスイッチとして用いる。 3. 無安定マルチバイブレータはトリガがなくてもパルスを発生する。 4. 単安定マルチバイブレータは1トリガで1パルス発生する。 5. 双安定マルチバイブレータは1トリガで2パルス発生する。 問題 42. 論理記号と真理値表との組合せで誤っているのはどれか。

1. AND --- {A:0011}{B:0101}{Q:0001} 2. OR --- {A:0011}{B:0101}{Q:0111} 3. NAND --- {A:0011}{B:0101}{Q:1110} 4. NOR --- {A:0011}{B:0101}{Q:1000} 5. EXOR --- {A:0011}{B:0101}{Q:1001} 問題 43. 図のブロック線図でY(s)を示すのはどれか。 1. X(s)F(s)G(s) 2. X(s){F(s)G(s)−H(s)} 3. X(s)F(s)G(s)/H(s) 4. X(s)F(s)G(s)/{1+F(s)G(s)H(s)} 5. X(s)F(s)G(s)/{1−F(s)G(s)} 問題 44. 誤っている組合せはどれか。 1. 整流管 --- トンネル効果 2. 熱電対 --- ゼーベック効果 3. 超電導 --- マイスナー効果 4. 磁場測定器 --- ホール効果 5. 光電子増倍管 --- 光電効果 問題 45. 正しいのはどれか。 a. 磁束の単位はWb・m^{-2}である。 b. 磁束密度の単位はT(テスラ)である。 c. 磁場の強さと磁束密度との方向は一致している。 d. Fe、Co及びNiは強磁性体である。 e. 反磁性体の原子は磁場をかけても磁気モーメントを持たない。 1. a,b,c 2. a,b,e 3. a,d,e 4. b,c,d 5. c,d,e 画像工学エックス線撮影技術学、最初に戻る 問題 46. 誤っているのはどれか。 1. エックス線撮影時はコンプトン効果による散乱が主である。 2. グレーデル法は散乱線除去の方法である。 3. 照射野絞りは散乱線除去に効果がある。 4. グリッド密度が大きいほど鉛はくの陰影が目立つ。 5. グリッド比が高いほど散乱線除去の効率がよい。 問題 47. マイクロデンシトメータの取り扱いで誤っているのはどれか。 1. ステージを操作するときは手袋を着用する。 2. 濃度測定のときには室内の照明は明るくする。 3. 試料を操作する位置は一定にする。 4. ピントはフイルム前面に合わせる。 5. アパーチャのピントを合わせる。 問題 48. 被写体コントラストに影響しないのはどれか。 1. フイルム特性曲線 2. エックス線質 3. 管電流 4. 現像液 5. 増感紙 問題 49. 管電圧70kV、管電流100mA、撮影時間0.3s、焦点フイルム間距離100cmの撮影条件を、管電圧およびフイルム増感紙を変化させないで、管電流を150mAに、また焦点フイルム間距離を150cmにしたとき、同一写真濃度になる撮影時間は何秒にすればよいか。 1. 0.08 2. 0.15 3. 0.3 4. 0.45 5. 0.6 問題 50. ディジタル画像について誤っているのはどれか。 1. 画像処理ができる。 2. 光り磁気ディスクに保存できる。 3. 可逆圧縮して復元した画像の画質は劣化する。 4. 定量的解析ができる。 5. CRTモニタで観察できる。 問題 51. 画像処理について空間フィルタでなく、時間フィルタに属するのはどれか。 1. グラディエントフィルタ 2. スムージングフィルタ 3. メディアンフィルタ 4. ラプラシアンフィルタ 5. リカーシブフィルタ 問題 52. 胸部エックス線写真(直接撮影)での肺野部の最適な濃度Dはどれか。 1. 0.9 2. 1.0 3. 1.2 4. 1.7 5. 2.0 問題 53. 薄紙に印刷された模様をエックス線撮影することを試みた。 正しいのはどれか。 1. 前面増感紙とフイルムとの間に挟んで撮る。 2. 100枚程度の束にして軟線撮影する。 3. 1cmのアクリルのファントムの上に置いて撮る。 4. ノンスクリーンでフイルムとともに取枠の中に装てんする。 5. 薄紙の模様はエックス線では写らない。 問題 54. 誤っているのはどれか。 1. ドイツ水平線は両眼窩下縁と外耳孔上縁とを結ぶ線である。 2. 眼窩耳孔線は眼外角と外耳孔中心点とを結ぶ線である。 3. ドイツ水平線と眼窩耳孔線との角度は10度をなす。 4. 前額断面は矢状断面に直角に交わる。 5. 耳垂直線は眼窩耳孔線に垂直な線である。 問題 55. 胸部エックス線撮影について適切でないのはどれか。 1. 病室ポータブル正面撮影はPA方向で撮る。 2. 肺尖撮影の脊椎後弯法は体を30度後斜させる。 3. 心疾患のRAO撮影体位は45度とする。 4. 側面撮影は両上肢を上方へそろえて撮影する。 5. 右肺の胸水の確認には右側臥位の正面撮影をする。 問題 56. 正しいのはどれか。 1. 胸部エックス線撮影に当たって喫煙歴を確認する。 2. 毛髪線とは肺にかかった毛髪陰影である。 3. 四肢の整位は透視下で行う。 4. 胸部エックス線撮影では患者の同意書が必要である。 5. エックス線検査に当たっては患者の心理的不安を除く配慮をする。 問題 57. 正しい組合せはどれか。 1. 視神経管 --- ステンバース(Stenvers)法 2. 三半規管 --- レーゼ(Rhese)法 3. 大後頭孔 --- シュラー(Sch\"uller)法 4. 副鼻腔 --- ウォーターズ(Waters)法 5. 眼窩 --- タウン(Towne)法 問題 58. 正しいのはどれか。 1. 肩関節の軸方向撮影は上肢を内転させる。 2. 前腕の正面撮影は手掌をカセットに向ける。 3. 肘関節側面撮影は肘関節を90度屈曲させる。 4. 足関節正面撮影は下肢をわずかに外旋させる。 5. ラウエンシュタイン(Lauenstein)法は股関節を内転させる。 問題 59. 乳房検査に適応されるのはどれか。 a. 血管造影 b. MRI c. 軟線撮影 d. 超音波検査 e. エックス線断層撮影 1. a,b,c 2. a,b,e 3. a,d,e 4. b,c,d 5. c,d,e 問題 60. 消化管造影検査で誤っている組合せはどれか。 1. 鎮痙剤 --- 消化管の運動を促進 2. オリーブ油 --- 注腸用ゾンデの肛門通過の潤滑油 3. 硫酸バリウム懸濁液 --- 陽性造影剤 4. 発泡顆粒 --- 陰性造影剤 5. 下剤 --- バリウムによる排便障害防止 問題 61. 胃・十二指腸の造影検査で誤っているのはどれか。 1. 立位充満像は胃角が最も広く開いて見れる位置で撮影する。 2. 前壁粘膜像は背臥位で撮影する。 3. 背臥位二重造影像は胃小区レベルまで描出する。 4. 腹臥位充満像は前庭部から球部まで十分にバリウムを充満させて撮影する。 5. 十二指腸球部は圧迫像を撮影する。 問題 62. 圧迫法が効果の少ない部位はどれか。 a. 乳房 b. 胃 c. 脾臓 d. 膵臓 e. 膀胱 1. a,b,c 2. a,b,e 3. a,d,e 4. b,c,d 5. c,d,e 問題 63. 立体撮影が最も良い適応はどれか。 1. 気管支造影 2. 脳血管造影 3. リンパ管造影 4. 唾液腺造影 5. 下大静脈造影 問題 64. 高圧エックス線撮影で正しいのはどれか。 1. 胸部エックス線撮影に適している。 2. 散乱線の影響が少なくなる。 3. 画像のコントラストが上昇する。 4. 撮影条件に対する寛容度が狭くなる。 5. 被爆線量は増加する。 問題 65. CT値が最も低いのはどれか。 1. 骨 2. 神経 3. 脂肪 4. 血管 5. 筋肉 問題 66. MRIで誤ってるのはどれか。 1. 組織コントラストがエックス線CTより低い。 2. 三次元的位置情報が得られる。 3. 超磁性体によりアーチファクトを生じる。 4. 表面コイルを使い分けることで分解能を高められる。 5. 任意の方向の断面像が得られる。 問題 67. 緑色を発光する蛍光体はどれか。 a. CaWO_4 b. BaFCl:Eu c. LaOBr:Tb d. La_2O_2S:Tb e. Gd_2O_2S:Tb 1. a,b 2. a,e 3. b,c 4. c,d 5. d,e 問題 68. 超音波検査の特徴はどれか。 a. 浸襲的である。 b. 軟組織の描出が優れている。 c. 断層面を自由に選択できる。 d. 腸管ガスの影響を受けやすい。 e. 術者が異なっても再現性が高い。 1. a,b,c 2. a,b,e 3. a,d,e 4. b,c,d 5. c,d,e 問題 69. 眼底像と関係ないのはどれか。 1. ファーター乳頭 2. 網膜中心動脈 3. 黄斑部 4. 中心窩 5. 鼻側動脈 問題 70. エックス線CT検査について正しいのはどれか。 1. 冠状断像は再構成できない。 2. 縦隔よりも肺のCT値は高い。 3. ウインドウレベルを下げると骨内部が見える。 4. ウインド幅を小さくするとコントラストが高くなる。 5. 耳小骨は写らない。 放射線計測学、最初に戻る 問題 71. 正しい組合せはどれか。 a. ポケット線量計 --- 電離箱 b. シンチレーション検出器 --- 光電子増倍管 c. 半導体検出器 --- 潜像 d. 比例計数管 --- フェーディング e. GM計数管 --- アニーリング 1. a,b 2. a,e 3. b,c 4. c,d 5. d,e 問題 72. 正しいのはどれか。 a. NaI(Tl)シンチレータは潮解性がある。 b. ウエル型シンチレーションカウンタは異なる試料容積でも計数率は同じである。 c. シンチレーションカウンタは半導体検出器よりエネルギー分解能がよい。 d. 光電子増倍管の増倍率は10^2程度である。 e. 液体シンチレーションカウンタの波長シフタとしてPOPOPがある。 1. a,b 2. a,e 3. b,c 4. c,d 5. d,e 問題 73. 熱ルミネセンス線量計について正しいのはどれか。 a. エネルギー依存性がある。 b. 線量率計として使用する。 c. 発熱量を測定する。 d. リーダに光電子増倍管がある。 e. アニーリングにより再使用できる。 1. a,b,c 2. a,b,e 3. a,d,e 4. b,c,d 5. c,d,e 問題 74. 放射能試料を1分間測定したところ、試料の正味計数値が400カウント、バックグラウンドの計数値が50カウントであった。 全測定時間を1時間としたときの時間配分で適切なのはどれか。 バックグラウンド --- バックグラウンド+試料 1. 50分 ------------------- 10分 2. 45分 ------------------- 15分 3. 30分 ------------------- 30分 4. 15分 ------------------- 45分 5. 10分 ------------------- 50分 問題 75. 液体シンチレーションカウンタの構成で正しいのはどれか。(fig-pm75)     イ ---    ロ ---     ハ ---     ニ ---     ホ 1. 比例増幅器 --- サム回路 --- 同時計数回路 --- ゲート回路 --- 波高分析器 2. サム回路 --- 比例増幅器 --- 波高分析器 --- 同時計数回路 --- ゲート回路 3. ゲート回路 --- サム回路 --- 波高分析器 --- 比例増幅器 --- 同時計数回路 4. 波高分析器 --- 比例増幅器 --- ゲート回路 --- サム回路 --- 同時計数回路 5. 同時計数回路 --- サム回路 --- 比例増幅器 --- 波高分析器 --- ゲート回路 問題 76. 誤っている組合せはどれか。 無機シンチレータ --- 有機シンチレータ 1. 減衰時間   長い ------------- 短い 2. 発光量   大 ------------- 小 3. 線種   γ線 ------------- β線 4. 潮解性   無し ------------- 有り 5. 実効原子番号   大 ------------- 小 問題 77. 診療従事者がフイルムバッジの着用を義務付けられていないのはどれか。 1. エックス線撮影室 2. 核医学検査室 3. エックス線CT撮影室 4. MRI撮影室 5. 放射線治療室 問題 78. エネルギー測定ができないのはどれか。 1. パルス電離箱 2. 比例計数管 3. GM計数管 4. アントラセンシンチレーションカウンタ 5. Ge(Li)半導体検出器 問題 79. 表面吸収線量Dを表す式を示す。「D=R・k・N・f・B」誤っているのはどれか。 1. Rは線量計の読値である。 2. kは大気の補正係数である。 3. Nはエネルギー校正定数である。 4. fは吸収線量変換係数である。 5. Bは距離の減弱補正係数である。 問題 80. 同一核種を繰り返し測定したときの平均値をNとし、\sqrt{N}をSで表したときに誤っているのはどれか。 1. N±Sの中に入る計数値の確率は約68%である。 2. N±0.675Sの中に入る計数値の確率は約50%である。 3. N±2Sの中に入る計数値の確率は約85%である。 4. N±3Sの中に入る計数値の確率は約99.7%である。 5. Sは標準偏差である。 問題 81. 照射線量Xを表す式で正しいのはどれか。 ただし、μ_{en}/ρは質量エネルギー吸収係数、μ_{tr}/ρは質量エネルギー転移係数、μ/ρは質量減弱係数、Wは空気中で1イオン対を作るのに必要なエネルギー、eは電気素量、Ψはエネルギーフルエンスとする。 1. X=μ_{en}/ρ・e/W・Ψ 2. X=μ_{en}/ρ・W/e・Ψ 3. X=μ_{tr}/ρ・e/W・Ψ 4. X=μ/ρ・W/e・Ψ 5. X=μ/ρ・e/W・Ψ 問題 82. 高線量率の治療用密封小線源の出力測定に最も適しているのはどれか。 1. フイルム法 2. サンドイッチ法 3. Hピット法 4. 同時計数法 5. 飛行時間法 問題 83. 鉛に対する半価層が0.7cmのとき、質量減弱係数はいくらか。 ただし、鉛の密度は11.3g/cm^3、log_{10}2は0.693とする。 1. 8.8×10^{-3} cm^2/g 2. 9.9×10^{-3} cm^2/g 3. 8.8×10^{-2} cm^2/g 4. 9.9×10^{-2} cm^2/g 5. 8.8×10^{-1} cm^2/g 問題 84. ブラッグ・グレイの空洞原理を表す式はどれか。 ただし、Dmは媒質の単位質量当たりの吸収エネルギー、Jgは気体の単位質量当たりのイオン対数、Wgは気体中に1イオン対を作るのに必要なエネルギー、SmとSgはそれぞれ媒質と気体の質量衝突阻止能とする。 1. Dm=Wg・Jg・Sg/Sm 2. Dm=Wg・Jg・Sm/Sg 3. Dm=Jg/Wg・Sg/Sm 4. Dm=Wg/Jg・Sm/Sg 5. Dm=Jg/Wg・Sm/Sg 問題 85. 検出効率が5%のGM管で1分間に360カウントの計数を得た。 この試料の放射能は何Bqか。 1. 20 2. 60 3. 120 4. 360 5. 600 放射線管理学、最初に戻る

問題 86. 診療放射線技師法で照射録に記載する必要がない項目はどれか。 1. 照射を受けた者の住所 2. 照射を受けた者の氏名 3. 照射を受けた者の年齢 4. 照射方法(具体的かつ詳細に) 5. 医師または歯科医師の氏名 問題 87. 診療放射線技師法で誤っているのはどれか。 1. 業務上知り得た人の秘密を守る。 2. 患者からの治療および検査の質問に対応する。 3. 超音波装置を取り扱う。 4. 磁気共鳴装置を取り扱う。 5. 緊急の場合には医師の指示がなくても人体に放射線を照射できる。 問題 88. 輸血用血液照射エックス線装置について誤っているのはどれか。 1. 医療法に診断用エックス線装置として規定されている。 2. 装置の設置については都道府県への届出が必要である。 3. 装置を取り扱う診療放射線技師は氏名を都道府県へ届け出る必要がある。 4. 装置の取り扱いは放射線診療従事者が行う。 5. 使用室は医療法で規定する構造設備基準を満たす必要がある。 問題 89. 構造設備と線量当量との組合せで誤っているのはどれか。 1. 人が通行するエックス線診療室画壁の外側 --- 1 mSv/1週間 2. 病室 --- 1.3 mSv/1月間 3. 事業所内の居住区域の境界 --- 250 μSv/3月間 4. 事業所の敷地の境界 --- 250 μSv/3月間 5. 管理区域 --- 300 μSv/1週間 問題 90. 正しいのはどれか。 a. 我が国では1年間に受ける自然放射線の総量はおおよそ5 mGyである。 b. 線量当量限度以下の放射線被爆では突然変異発生率は増加しない。 c. 放射線被爆での奇形発生で最も危険なのは胎児の器管形成時期である。 d. 131Iを3.7GBq服用した患者は放射線治療病室に収容しなければならない。 e. 妊娠可能な女性は月経開始前の10日以内にエックス線検査を行う。 1. a,b 2. a,e 3. b,c 4. c,d 5. d,e 問題 91. 線量当量限度の組合せで正しいのはどれか。 a. 緊急作業(男子) ------------------- 100 mSv/6月間 b. 水晶体 --------------------------- 150 mSv/1年間 c. 水晶体以外の眼の組織 ------------- 500 mSv/1年間 d. 妊娠と診断されて出産までの期間 --- 10 mSv e. 妊娠可能な女子の腹部 ------------- 13mSv/6月間 1. a,b,c 2. a,b,e 3. a,d,e 4. b,c,d 5. c,d,e 問題 92. 表面汚染測定について誤っているのはどれか。 a. アルファ線を放出する核種の汚染密度限界は4 Bq/cm^2である。 b. ベータ線を放出する核種の汚染密度限界は40 Bq/cm^2である。 c. ガンマ線を放出する核種の汚染密度限界は60 Bq/cm^2である。 d. 拭き取り汚染面積を10cm^2とする。 e. ろ紙の直径は2.5cmである。 1. a,b 2. a,e 3. b,c 4. c,d 5. d,e 問題 93. 24時間前に3.7GBqの99mTcを得たジェネレータ(99Mo→99mTc)からどの位の99mTcが得られるか。 1. 3 GBq 2. 2 GBq 3. 1 GBq 4. 0.5 GBq 5. 0.25 GBq 問題 94. 核種と放射線障害防止法に規定された群別との組合せで誤っているのはどれか。 a. 90Sr ---- 第1群 b. 125I --- 第2群 c. 59Fe --- 第2群 d. 51Cr --- 第3群 e. 14C ---- 第4群 1. a,b 2. a,e 3. b,c 4. c,d 5. d,e 問題 95. 放射線測定の組合せで誤っているのはどれか。 1. 3H ------------ 液体シンチレーションカウンタ 2. 14C ----------- Si(Li)検出器 3. 241Am --------- Si表面障壁形半導体検出器 4. エックス線 ---- フイルムバッジ 5. 中性子 -------- 2πガスフロー計数管


午前の最初に戻る、  午後の最初に戻る
RETURN TO SUZUKI's HOME PAGE